Vários dados relacionados Exemplos De Potencia Com Expoente Fracionario.
Expoente Fracionario Ph Youtube

Fonte de : www.youtube.com
Potencia Com Expoente Fracionario Calculadora Online Aprenda

Fonte de : calculareconverter.com.br
Plano De Aula 8º Ano Matematica Problemas Com Potencias De

Fonte de : novaescola.org.br
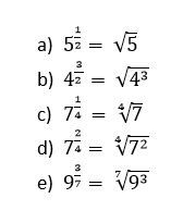
Expoentes Fracionarios Pdf Download Gratis

Fonte de : docplayer.com.br
Propriedades Da Potenciacao Parte Ii Escola Kids

Fonte de : escolakids.uol.com.br
Determine O Valor De Cada Potencia Com Base Fracionaria E Expoente

Fonte de : brainly.com.br
Potencia E Raiz

Fonte de : sites.google.com

É sobre isso que podemos compartilhar exemplos de potencia com expoente fracionario. O administrador do blog de Novo Exemplo 01 January 2019 também coleta outras imagens relacionadas ao exemplos de potencia com expoente fracionario abaixo.
Mange Matematica Abril 2020

Fonte de : mangematematica.blogspot.com
Exemplos Sobre O Topico De Graduacao Com Um Indicador Racional

Fonte de : valenteshop.ru
Aprendendo A Matematica 2012

Fonte de : asboyzinhascptja.blogspot.com
Ppt Na Raiz Temos B Powerpoint Presentation Free Download

Fonte de : www.slideserve.com
Radiciacao

Fonte de : pt.slideshare.net
Radicais

Fonte de : www.todoestudo.com.br
Expoente Fracionario Negativo Youtube

Fonte de : www.youtube.com
Disciplina Portal

Fonte de : estacio.webaula.com.br
Potenciacao Estudo Pratico

Fonte de : www.estudopratico.com.br
Essa é a informação que podemos descrever sobre exemplos de potencia com expoente fracionario. Obrigado por visitar o blog Novo Exemplo 01 January 2019.