Essas são as informações que podemos fornecer 30 Exemplos De Sistema De Equação Do 2 Grau.
Equacoes Do 2 º Grau Ou Equacoes Quadraticas

Fonte de : www.ipv.pt
Matematica 1400 Questoes Resolvidas E Gabaritadas By Isaque

Fonte de : issuu.com
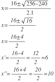
Equacao Wikipedia A Enciclopedia Livre

Fonte de : pt.wikipedia.org
Sistemas De Equacoes Do 2º Grau Ph Youtube

Fonte de : www.youtube.com
Equacao De 1º Grau Como Resolver Passo A Passo Cola Da Web

Fonte de : www.coladaweb.com
Matematica Seriada Sistemas De Equacoes Do 2º Grau

Fonte de : matematicaseriada.blogspot.com

Aqui está a informação completa sobre 30 exemplos de sistema de equação do 2 grau. O administrador do blog de Novo Exemplo 05 January 2019 também coleta outras imagens relacionadas ao 30 exemplos de sistema de equação do 2 grau abaixo.
9º Ano 2º Bimestre

Fonte de : professordiminoi.com.br
Como Calcular Porcentagem Dicas Valiosas Para Aprender De Uma Vez

Fonte de : www.estrategiaconcursos.com.br
Matematica Seriada Sistemas De Equacoes Do 2º Grau

Fonte de : matematicaseriada.blogspot.com
Professora Mariane Krull Turma 9º Ano Ppt Video Online Carregar

Fonte de : slideplayer.com.br
Equacoes Polinomiais Do 1º E 2º Grau Revisao Matematica Enem

Fonte de : blogdoenem.com.br
Portal Obmep Do Saber Sistemas De Equacoes Do Primeiro Grau

Fonte de : portaldaobmep.impa.br
Matematica Seriada Sistemas De Equacoes Do 2º Grau

Fonte de : matematicaseriada.blogspot.com
Https Www Novaconcursos Com Br Media Wysiwyg Retificacoes Ifal Matematica Fundamental Pdf

Fonte de :
Exercicios Sobre Sistemas De Equacoes Do 1º E Do 2º Grau

Fonte de : exercicios.brasilescola.uol.com.br
Equacoes E Inequacoes Pdf Free Download

Fonte de : docplayer.com.br
Sistema Internacional De Unidades Wikipedia A Enciclopedia Livre

Fonte de : pt.wikipedia.org
Inequacoes Funcoes Matematica Educacao

Fonte de : educacao.globo.com
Sistema De Equacoes Do 2 Grau Youtube

Fonte de : www.youtube.com
Assim, as informações que podemos compartilhar sobre 30 exemplos de sistema de equação do 2 grau. Obrigado por visitar o blog Novo Exemplo 05 January 2019.