Completo com imagens Exemplo De Contrato De Honorarios Advocaticios.
Modelo De Contrato De Honorarios Advocaticios Comentado Loja Legal

Fonte de : loja.legal
Contrato De Honorarios Advocaticios Com Clausula Quota Litis Lei

Fonte de : pt.scribd.com
Justica Do Trabalho Honorarios Advocaticios Indenizacao Trt Mg

Fonte de : pt.slideshare.net
Modelo Pedido De Reserva De Honorarios Em Alvara

Fonte de : modeloinicial.com.br
Honorarios Advocaticios

Fonte de : livrozilla.com
Contrato De Fornecimento Modelo Exemplo Baixar Em Word Lexio

Fonte de : www.lexio.legal
Contrato De Seguro Dpvat Abstract Decliejr

Fonte de : www.trabalhosgratuitos.com

É sobre isso que podemos compartilhar exemplo de contrato de honorarios advocaticios. O administrador do blog de Novo Exemplo 01 January 2019 também coleta outras imagens relacionadas ao exemplo de contrato de honorarios advocaticios abaixo.
Modelo Contrato De Prestacao De Servicos E Honorarios Advocaticios

Fonte de : www.trabalhosgratuitos.com
Doc Contrato De Honorarios Advocaticios 20 Emersono

Fonte de : www.academia.edu
Modelo Contrato De Honorarios Advocaticios Trabalhista

Fonte de : modeloinicial.com.br
Modelo Contrato De Prestacao De Servicos Advocaticios Generico

Fonte de : www.scribd.com
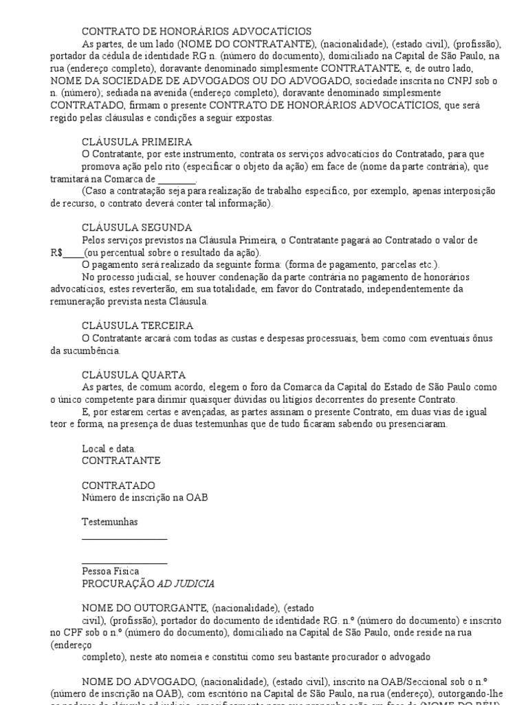
Modelo De Contrato De Honorarios Advocaticios

Fonte de : livrozilla.com
Contrato De Honorarios Sindicato

Fonte de : livrozilla.com
Modelo De Contrato De Prestacao De Servico De Cobranca De Divida

Fonte de : www.modelosimples.com.br
Exemplo De Contrato De Honorarios Advocaticios Advogado Estado

Fonte de : pt.scribd.com
Exemplo De Recibo De Honorarios Advocaticios Por Servicos Prestados

Fonte de : www.admdireito.com.br
Essa é a discussão que podemos fornecer sobre exemplo de contrato de honorarios advocaticios. Obrigado por visitar o blog Novo Exemplo 01 January 2019.